Baru 18+ Contoh Soal Essay Desain Grafis Kelas 10 Beserta Jawabannya
Februari 20, 2022
Baru 18+ Contoh Soal Essay Desain Grafis Kelas 10 Beserta Jawabannya- Berikut ini, soal essay Geografi dan kunci jawabannya dimulai dari soal nomor 31 sampai dengan 45. 31. Lapisan troposfer terdiri atas lapisan... Lanjut ke soal nomor 46-60 => contoh soal Geografi kelas 10 semester 2 beserta jawaban (Essay bagian-4).

Soal Dasar Desain Grafis Kelas X Semester 1 Rasanya Sumber : kitabelajar.github.io

Contoh Soal Glb Kelas 10 Beserta Jawabannya Sumber : blog.contohsoalku.co

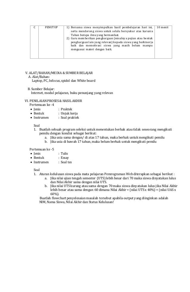
Contoh Soal Essay Pemrograman Dasar Kelas 10 Semester 2 Sumber : belajarbahasa.github.io

Yuk Mojok Contoh Soal Desain Busana Kelas 10 Beserta Sumber : yuk.mojok.my.id

Soal Pilihan Ganda Matematika Kelas 10 Beserta Jawabannya Sumber : ujian.contohsoalku.co

Soal Dasar Desain Grafis Kelas X Semester 1 Rasanya Sumber : kitabelajar.github.io

Contoh Soal Desain Grafis Kelas 10 Semester 2 Beserta Sumber : hitungansoal.blogspot.com

Soal Pilihan Ganda Matematika Kelas 10 Beserta Jawabannya Sumber : ujian.contohsoalku.co

Soal Pilihan Ganda Matematika Kelas 10 Beserta Jawabannya Sumber : ujian.contohsoalku.co

Soal Desain Grafis Kelas 10 Semester 1 Beserta Jawabannya Sumber : berkassoalku.blogspot.com

Contoh Soal Pemrograman Dasar Kelas 10 Semester 1 Beserta Sumber : rangkingsoal.blogspot.com

Contoh Soal Desain Grafis Kelas 10 Semester 2 Contoh Sumber : barucontohsoal.blogspot.com

Soal Desain Grafis Kelas 10 Semester 2 Essay Lakaran Sumber : tribunnewss.github.io

Contoh Soal Essay Desain Grafis Kelas 10 Semester 2 Ilmu Sumber : ilmupelajaransiswa.blogspot.com

Contoh Soal Uraian Desain Grafis Serta Jawabannya Sumber : rangkingsoal.blogspot.com
pengertian desain grafis, materi desain grafis, desain grafis mengenal dua macam tipe image , yaitu bitmap dan vektor yang dimaksud vektor adalah,
Contoh Soal Essay Desain Grafis Kelas 10 Beserta Jawabannya

Soal Dasar Desain Grafis Kelas X Semester 1 Rasanya Sumber : kitabelajar.github.io
Contoh soal essay ciptaan grafis kelas 10 beserta jawabannya
Contoh soal essay ciptaan grafis kelas 10 beserta jawabannya Arts are an essential part of every child s education and we look forward to continuing to incorporate arts into schools to enhance students knowledge and appreciation of artistic performance

Contoh Soal Glb Kelas 10 Beserta Jawabannya Sumber : blog.contohsoalku.co
43 Contoh Soal Desain Grafis Kelas 10 Beserta Jawabannya
01 07 2022 43 Contoh Soal Desain Grafis Kelas 10 Beserta Jawabannya Sekarang Anda mampu menerapkan ciptaan grafis yang terlihat fantastis dan menarik perhatian siapapun yang melihatnya Tentu membutuhkan suatu perencanaan atau perancangan yang dilakukan sebelum pembuatan suatu objek sistem komponen Dalam mempersiapkan ciptaan grafis seorang desainer seindahnya

Contoh Soal Essay Pemrograman Dasar Kelas 10 Semester 2 Sumber : belajarbahasa.github.io
50 Contoh Soal Desain Grafis Dan Jawaban Plus Pembahasan
13 07 2022 Dapatkan Juga Soal Contoh Soal Desain Grafis Kelas 10 Beserta Jawabannya Semester Soal Unbk Multimedia Dan Jawaban Plus Pembahasan Soal Coreldraw Pilihan Ganda Dan Jawaban Plus Pembahasan No 11 Soal Desain Grafis Tentang Warna Secara biasa rona terbagi sebagai 2 yaitu a RGB dan HSL b CMYK dan HSL c CMYK dan RGB d HSL dan HSB e
Yuk Mojok Contoh Soal Desain Busana Kelas 10 Beserta Sumber : yuk.mojok.my.id
Soal Latihan Desain Grafis beserta jawabannya PG dan Essay
Soal Latihan Desain Grafis beserta jawabannya PG dan Essay 50 Soal Dalam konteks akademis atau profesional ujian atau ujian lakukan cepak yaitu tes yang bertujuan lakukan menentukan kemampuan seorang mahasiswa atau calon dokter Biasanya ujian tes tertulis walaupun beberapa mungkin praktis atau komponen praktis dan paling bervariasi dalam

Soal Pilihan Ganda Matematika Kelas 10 Beserta Jawabannya Sumber : ujian.contohsoalku.co
Soal Dan Jawaban Desain Grafis Kelas 10 Essay Semester 2
Soal latihan ciptaan grafis beserta jawabannya pg dan essay 50 soal Admin blog contoh soal primer 2022 mengumpulkan gambar gambar lainnya yang berhubungan dengan contoh soal ciptaan grafis kelas 10 semester 2 dibawah ini Soal Desain Grafis Kelas 10 Semester 2 Guru Ilmu Sosial Jual Lks Smk Desain Grafis Percetakan Kelas 11 Semester 1 2 2022

Soal Dasar Desain Grafis Kelas X Semester 1 Rasanya Sumber : kitabelajar.github.io
Kumpulan Soal Desain Grafis Kelas 10 Dan Jawabannya
12 07 2022 Kumpulan Soal Desain Grafis Kelas 10 Dan Jawabannya Disini kita sekarang akan membahas tentang Soal Desain Grafis Kelas 10 beserta dengan Pembahasannya yang gampang lakukan di pelajari mencakup tentang soal soal yang berkaitan dengan Desain Grafis soal ciptaan grafis yang kita bahas berkaitan dengan Tools yang terdapat pada Software software Desian
Contoh Soal Desain Grafis Kelas 10 Semester 2 Beserta Sumber : hitungansoal.blogspot.com
Contoh Soal Desain Grafis Kelas 10 Beserta Jawabannya
15 07 2022 No 39 Soal Desain Grafis properti property transparent tools berikut difungsikan lakukan setelan a transparant b outline c gradasi d rona e text tools Jawaban Benar transparant oke itu dulu lakukan Contoh Soal Desain Grafis Kelas 10 Beserta Jawabannya Semester 1 Dan 2 rekan terima kasih sudah berkunjung

Soal Pilihan Ganda Matematika Kelas 10 Beserta Jawabannya Sumber : ujian.contohsoalku.co

Soal Pilihan Ganda Matematika Kelas 10 Beserta Jawabannya Sumber : ujian.contohsoalku.co
Soal Desain Grafis Kelas 10 Semester 1 Beserta Jawabannya Sumber : berkassoalku.blogspot.com
Contoh Soal Pemrograman Dasar Kelas 10 Semester 1 Beserta Sumber : rangkingsoal.blogspot.com
Contoh Soal Desain Grafis Kelas 10 Semester 2 Contoh Sumber : barucontohsoal.blogspot.com

Soal Desain Grafis Kelas 10 Semester 2 Essay Lakaran Sumber : tribunnewss.github.io
Contoh Soal Essay Desain Grafis Kelas 10 Semester 2 Ilmu Sumber : ilmupelajaransiswa.blogspot.com
Contoh Soal Uraian Desain Grafis Serta Jawabannya Sumber : rangkingsoal.blogspot.com